国际竹藤中心揭示干旱与氮沉降对毛竹水分利用和生长的影响机制
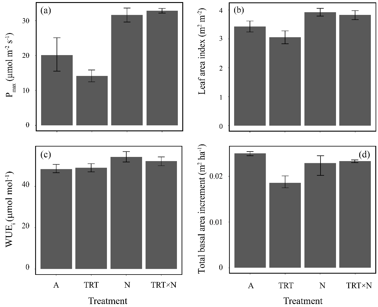
气候变化引起的干旱加剧将严重破坏陆地生态系统的水、碳循环,深入理解植物水分利用和生长对干旱的响应机制是准确评估干旱对水、碳循环影响的关键。而全球很多地区,正同时遭受干旱和人为引起的大气氮沉降增加的双重影响,增加的氮输入会对干旱下植物水分利用和生长有何影响仍不清楚。毛竹是我国分布面积最广,经济价值最大的竹种,其自然分布区,我国西南地区的干旱以及氮沉降风险在逐年加剧,因此迫切需要研究毛竹的水分利用和生长对干旱与氮沉降的响应机制,为模型预测及参数化、竹林经营管理和制定竹林可持续经营对策提供科学依据。国际竹藤中心生态系统结构与功能研究团队依托四川长宁蜀南竹海的大型野外模拟干旱和氮沉降实验平台,对24个样地的毛竹水分利用和生长进行监测。研究结果表明,干旱通过降低水力导度和光合速率使毛竹林冠层日蒸腾量,叶片水势,叶面积指数及单位样地面积的断面积增量显著下降;而氮添加由于提高了毛竹气孔导度的敏感性、光合速率以及水分利用效率使竹林日均蒸腾量下降的同时提高了叶面积指数;值得注意的是,干旱和氮添加的交互作用通过提高气孔导度敏感性、水力导度、光合速率和水分利用效率,显著提高了叶片水势和单位样地面积的断面积增量,也就是说氮添加能通过改变气孔导度敏感性、水力结构以及光合速率来改善干旱对毛竹叶片水分状况和竹林生长的不良影响。因此,在当前和未来气候变化背景下,森林生态系统的保护与发展策略的制定迫切需要考虑干旱和氮沉降交互作用对植物水力特征的影响。
相关研究成果于2023年1月9日在线发表在林学经典刊物Forest Ecology and Management (https://doi.org/10.1016/j.foreco.2023.120768)。该研究得到国家重点研发计划(2021YFD2200405),国家自然基金项目(32101249)和国际竹藤中心学科发展项目(1632021023)等资助。
原文详见:https://www.sciencedirect.com/science/article/pii/S0378112723000014?dgcid=coauthor
图1 干旱和氮添加对毛竹液流密度(Js)、日均蒸腾量(EL)和冠层气孔导度(Gs)的影响,A为对照,TRT为减雨处理,N为氮添加处理,TRT×N为减雨×氮添加
图2 干旱和氮添加对毛竹气孔导度敏感性的影响,A为对照,TRT为减雨处理,N为氮添加处理,TRT×N为减雨×氮添加
图3 干旱和氮添加对毛竹光饱和最大净光合速率(Pmax, a)、叶面积指数(b)、水分利用效率(WUEi, c)和单位样地面积断面积增量(d), A为对照,TRT为减雨处理,N为氮添加处理,TRT×N为减雨×氮添加
图4 实验设施与设备图,(a)减雨设施;(b)液流密度监测系统;(c)氮添加装置;(d)冠层光合测定平台
京公网安备11010502032725号